Официальное опубликование правовых актов
ОФИЦИАЛЬНОЕ ОПУБЛИКОВАНИЕ
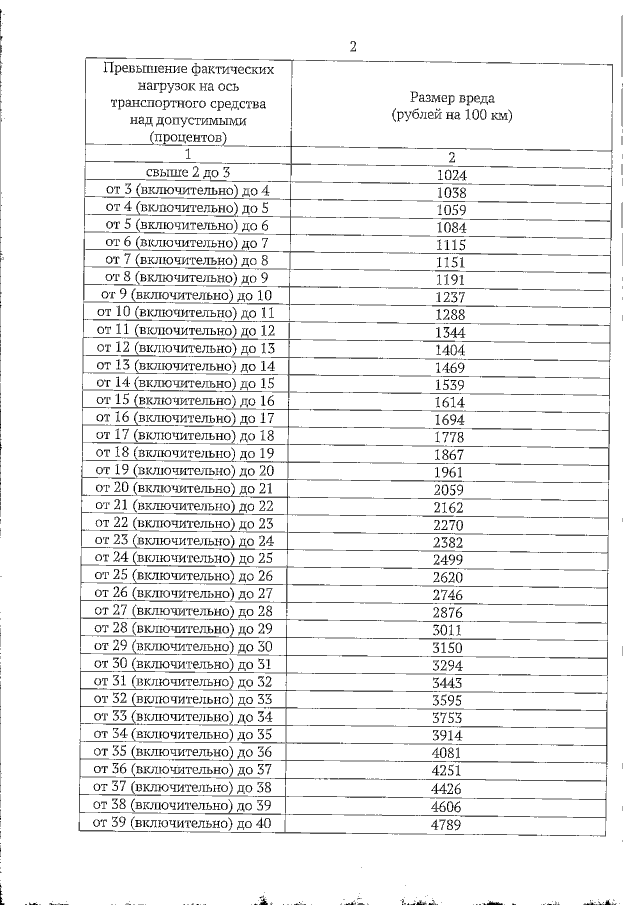
Постановление Правительства Ульяновской области от 22.07.2020 № 388-П
"О внесении изменений в постановление Правительства Ульяновской области от 25.07.2008 № 331-П"
Номер опубликования: 7300202007270008
Дата опубликования: 27.07.2020
Страница №2 из 7:
Увеличить