Официальное опубликование правовых актов
ОФИЦИАЛЬНОЕ ОПУБЛИКОВАНИЕ
Постановление Правительства Ульяновской области от 22.04.2020 № 190-П
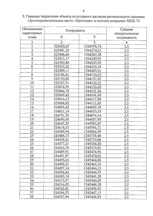
"О включении выявленного объекта культурного наследия "Достопримечательное место "Промзино" в единый государственный реестр объектов культурного наследия (памятников истории и культуры) народов Российской Федерации в качестве объекта культурного наследия регионального значения, а также об утверждении границ его территории, требований к осуществлению деятельности и градостроительному регламенту в границах его территории"
Номер опубликования: 7300202004230007
Дата опубликования: 23.04.2020
Страница №5 из 11:
Увеличить