Официальное опубликование правовых актов
ОФИЦИАЛЬНОЕ ОПУБЛИКОВАНИЕ
Указ Губернатора Ульяновской области от 17.04.2020 № 65
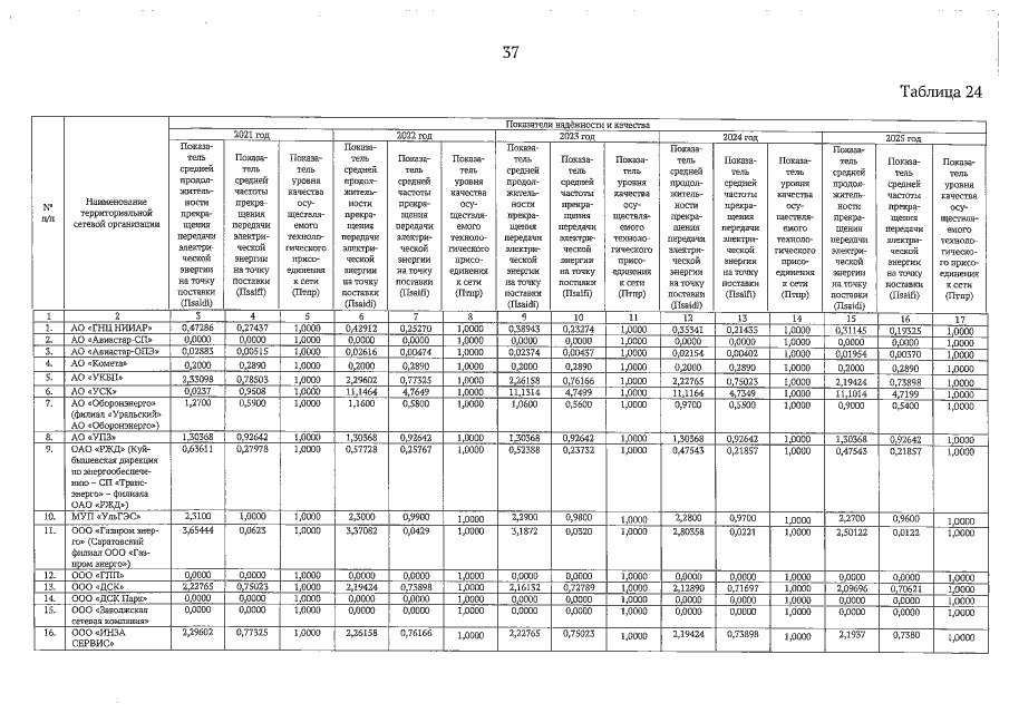
"Об утверждении схемы и программы перспективного развития электроэнергетики Ульяновской области на 2021-2025 годы"
Номер опубликования: 7300202004210002
Дата опубликования: 21.04.2020
Страница №38 из 40:
Увеличить