Официальное опубликование правовых актов
ОФИЦИАЛЬНОЕ ОПУБЛИКОВАНИЕ
Постановление Правительства Ульяновской области от 28.02.2020 № 82-П
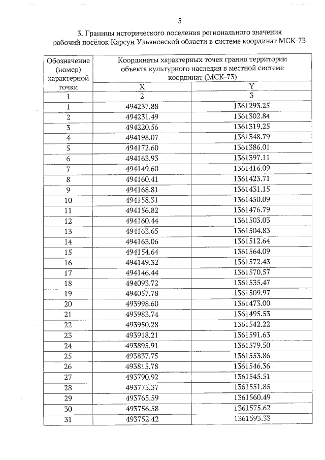
"Об утверждении предметов охраны, границ территорий и требования к градостроительным регламентам в границах территорий исторических поселений регионального значения, расположенных на территории Ульяновской области"
Номер опубликования: 7300202003030001
Дата опубликования: 03.03.2020
Страница №29 из 41:
Увеличить