Официальное опубликование правовых актов
ОФИЦИАЛЬНОЕ ОПУБЛИКОВАНИЕ
Постановление Правительства Ульяновской области от 24.05.2019 № 236-П
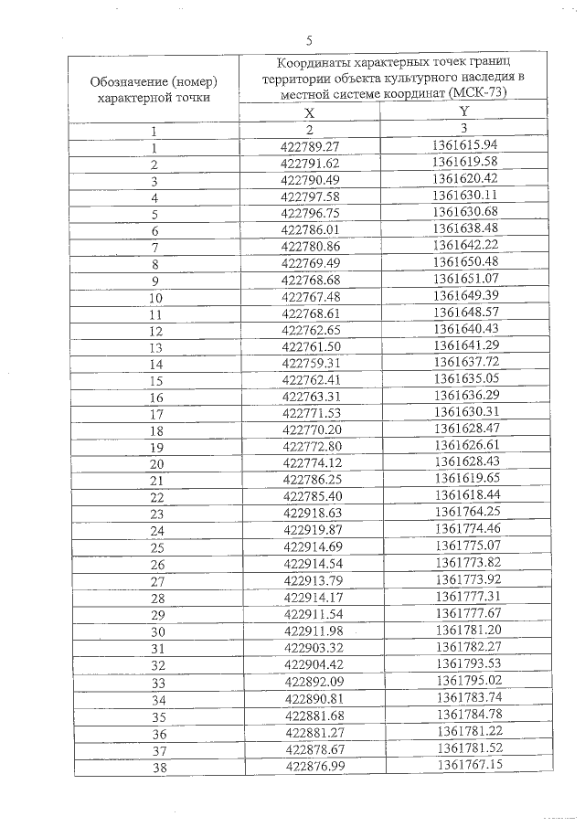
"Об утверждении границ и режима использования территорий объектов культурного наследия (памятников истории и культуры) народов Российской Федерации регионального значения, расположенных на территории Ульяновской области"
Номер опубликования: 7300201905280003
Дата опубликования: 28.05.2019
Страница №32 из 106:
Увеличить