Официальное опубликование правовых актов
ОФИЦИАЛЬНОЕ ОПУБЛИКОВАНИЕ
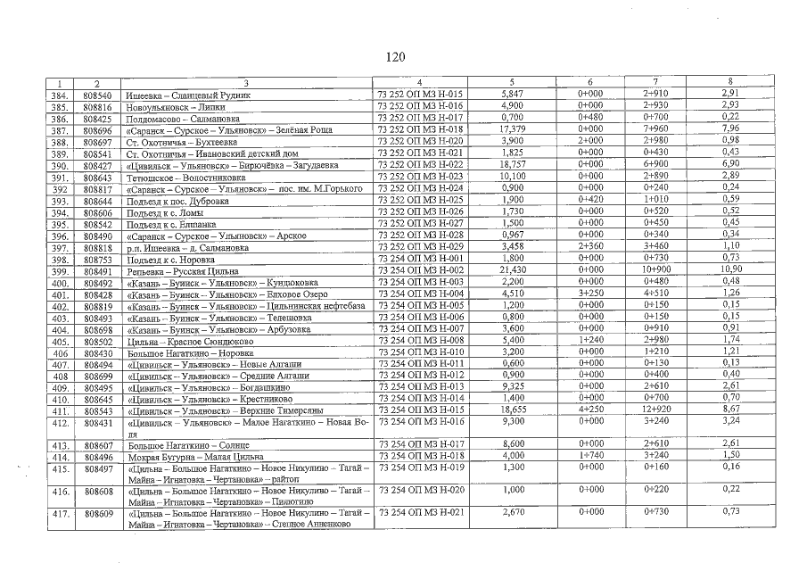
Постановление Правительства Ульяновской области от 20.02.2019 № 4/64-П
"О внесении изменений в государственную программу Ульяновской области "Развитие транспортной системы Ульяновской области" на 2014-2021 годы и признании утратившими силу отдельных положений постановлений Правительства Ульяновской области"
Номер опубликования: 7300201903010001
Дата опубликования: 01.03.2019
Страница №122 из 149:
Увеличить