Официальное опубликование правовых актов
ОФИЦИАЛЬНОЕ ОПУБЛИКОВАНИЕ
Постановление Правительства Ульяновской области от 25.12.2018 № 685-П
"О внесении изменений в постановление Правительства Ульяновской области от 22.05.2013 № 187-П"
Номер опубликования: 7300201812280003
Дата опубликования: 28.12.2018
Страница №10 из 17:
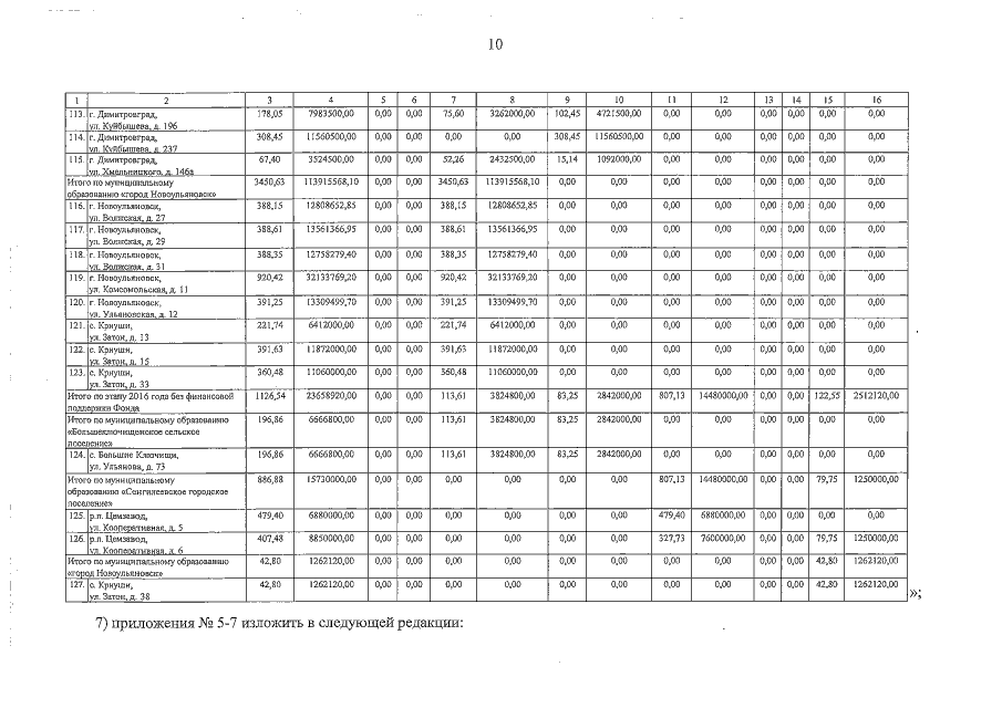
Увеличить