Постановление Правительства Ульяновской области от 31.05.2018 № 243-П
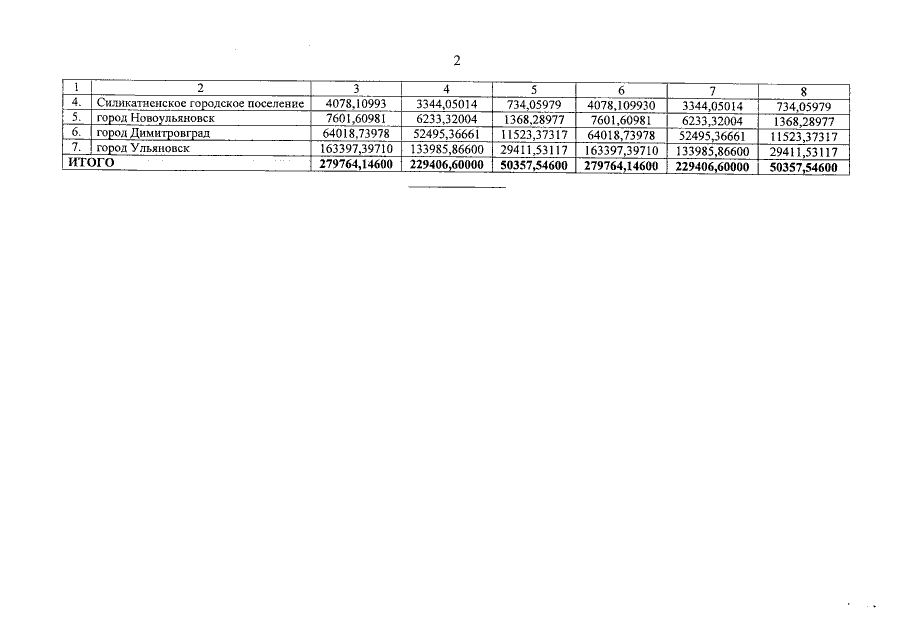
"Об утверждении распределения субсидий, предоставляемых в 2019 и 2020 годах из областного бюджета Ульяновской области бюджетам поселений и городских округов Ульяновской области в целях софинансирования расходных обязательств, возникающих в связи с организацией благоустройства дворовых территорий многоквартирных домов, территорий общего пользования (площадей, бульваров, улиц и набережных)"
"Об утверждении распределения субсидий, предоставляемых в 2019 и 2020 годах из областного бюджета Ульяновской области бюджетам поселений и городских округов Ульяновской области в целях софинансирования расходных обязательств, возникающих в связи с организацией благоустройства дворовых территорий многоквартирных домов, территорий общего пользования (площадей, бульваров, улиц и набережных)"
Номер опубликования: 7300201806040003
Дата опубликования:
04.06.2018
