Официальное опубликование правовых актов
ОФИЦИАЛЬНОЕ ОПУБЛИКОВАНИЕ
Указ Губернатора Ульяновской области от 03.05.2018 № 47
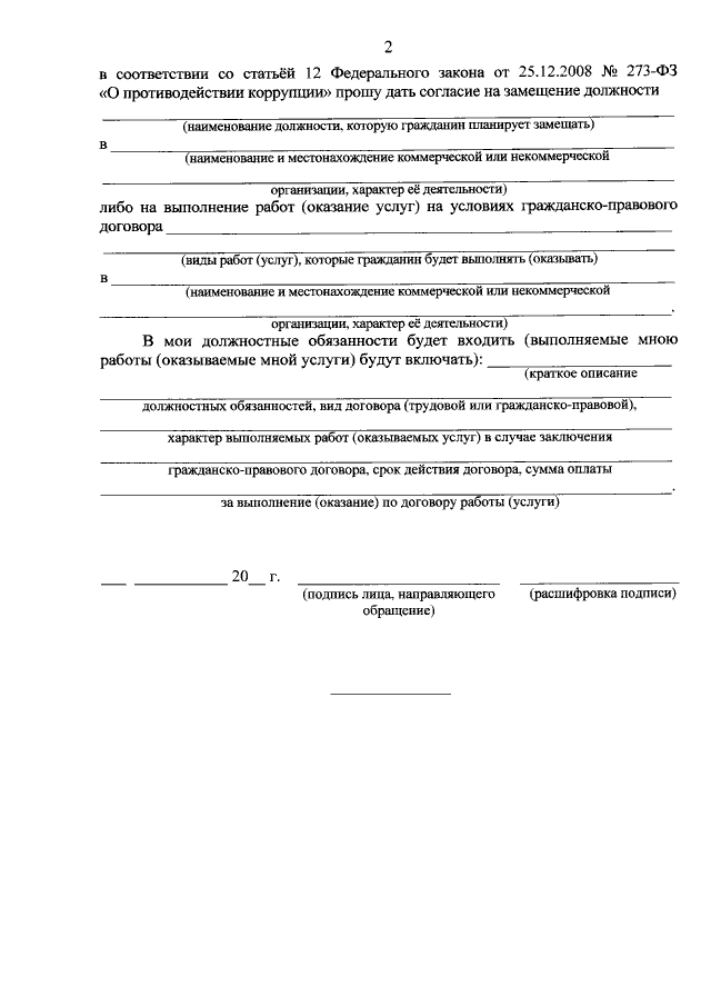
"О порядке подачи обращений, заявлений и уведомлений в комиссию по соблюдению требований к служебному поведению государственных гражданских служащих Правительства Ульяновской области и урегулированию конфликта интересов"
Номер опубликования: 7300201805070004
Дата опубликования: 07.05.2018
Страница №6 из 24:
Увеличить