Официальное опубликование правовых актов
ОФИЦИАЛЬНОЕ ОПУБЛИКОВАНИЕ
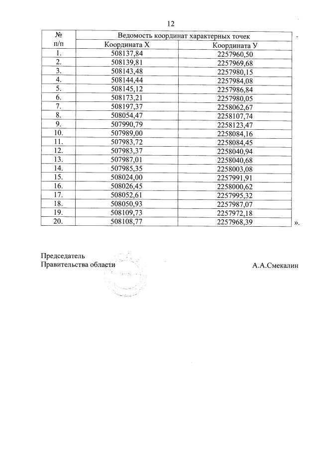
Постановление Правительства Ульяновской области от 18.12.2017 № 647-П
"О внесении изменений в постановление Правительства Ульяновской области от 02.07.2009 № 256-П"
Номер опубликования: 7300201712250007
Дата опубликования: 25.12.2017
Страница №12 из 12:
Увеличить