Официальное опубликование правовых актов
ОФИЦИАЛЬНОЕ ОПУБЛИКОВАНИЕ
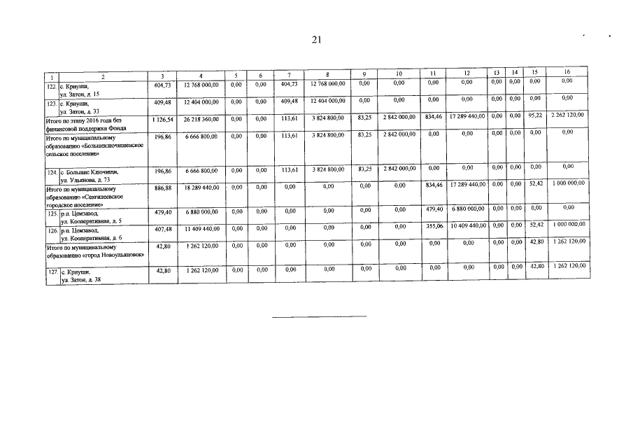
Постановление Правительства Ульяновской области от 27.09.2017 № 465-П "О внесении изменений в постановление Правительства Ульяновской области от 22.05.2013 № 187-П"
Номер опубликования: 7300201710030005
Дата опубликования: 03.10.2017
Страница №21 из 36:
Увеличить