Официальное опубликование правовых актов
ОФИЦИАЛЬНОЕ ОПУБЛИКОВАНИЕ
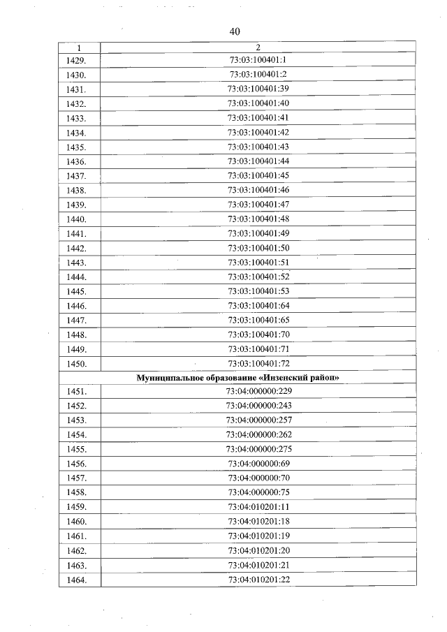
Постановление Правительства Ульяновской области от 22.06.2017 № 303-П "Об утверждении Перечня особо ценных продуктивных сельскохозяйственных угодий, использование которых не допускается для целей, не связанных с сельскохозяйственным производством"
Номер опубликования: 7300201706260004
Дата опубликования: 26.06.2017
Страница №41 из 432:
Увеличить