Официальное опубликование правовых актов
ОФИЦИАЛЬНОЕ ОПУБЛИКОВАНИЕ
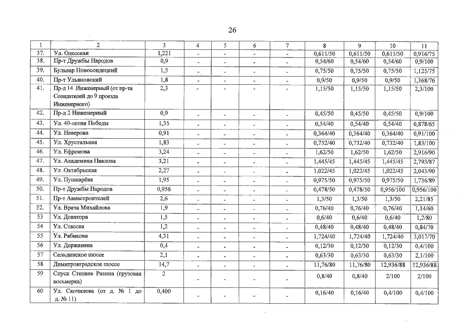
Постановление Правительства Ульяновской области от 07.02.2017 № 68-П "О внесении изменений в постановление Правительства Ульяновской области от 11.09.2013 № 37/419-П"
Номер опубликования: 7300201702100004
Дата опубликования: 10.02.2017
Страница №27 из 44:
Увеличить