Официальное опубликование правовых актов
ОФИЦИАЛЬНОЕ ОПУБЛИКОВАНИЕ
Постановление Правительства Ульяновской области от 24.06.2016 № 295-П
"О внесении изменений в постановление Правительства Ульяновской области от 22.05.2013 № 187-П"
Номер опубликования: 7300201606270001
Дата опубликования: 27.06.2016
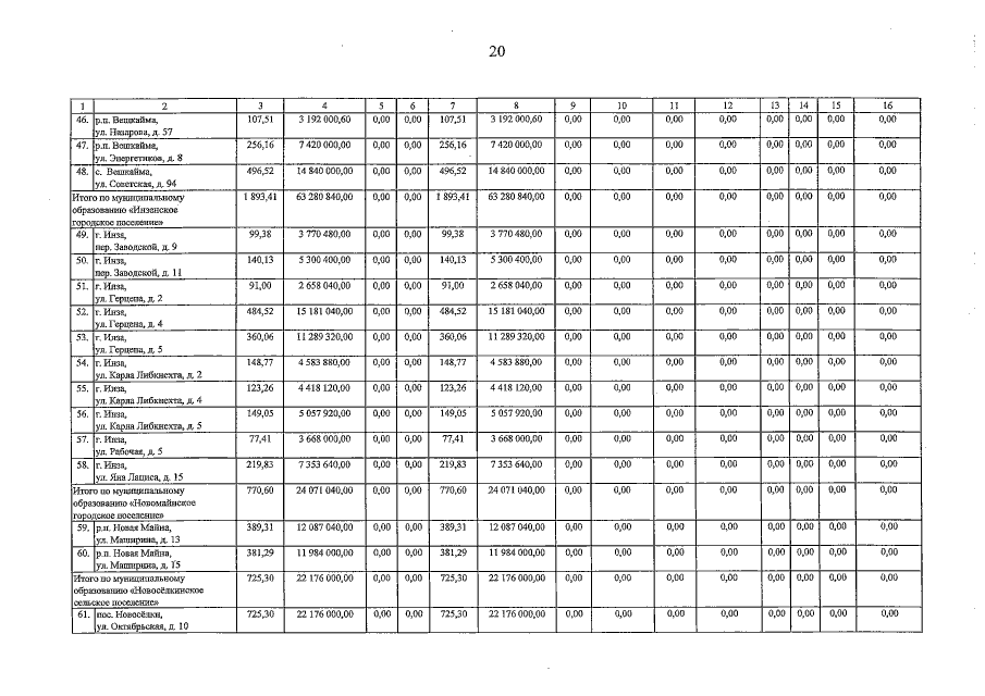
Страница №20 из 39:
Увеличить