Официальное опубликование правовых актов
ОФИЦИАЛЬНОЕ ОПУБЛИКОВАНИЕ
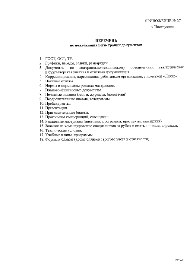
Постановление Правительства Ульяновской области от 21.03.2016 № 109-П
"Об утверждении Инструкции по делопроизводству в Правительстве Ульяновской области"
Номер опубликования: 7300201603250002
Дата опубликования: 25.03.2016
Страница №148 из 169:
Увеличить