Официальное опубликование правовых актов
ОФИЦИАЛЬНОЕ ОПУБЛИКОВАНИЕ
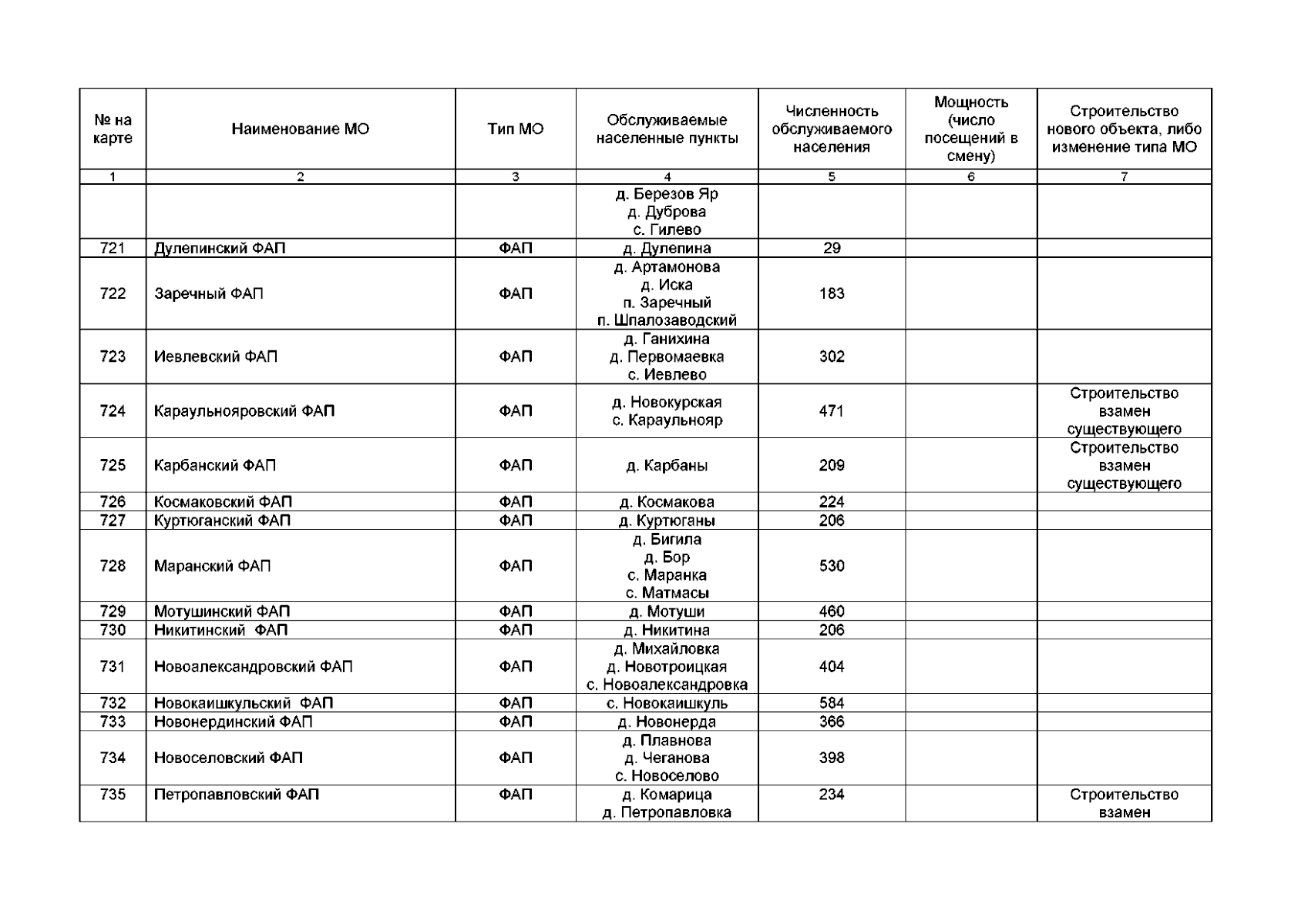
Постановление Правительства Тюменской области от 21.05.2025 № 327-п
"О внесении изменений в постановление от 15.12.2020 № 773-п"
Номер опубликования: 7200202505230004
Дата опубликования: 23.05.2025
Страница №172 из 287:
Увеличить