Официальное опубликование правовых актов
ОФИЦИАЛЬНОЕ ОПУБЛИКОВАНИЕ
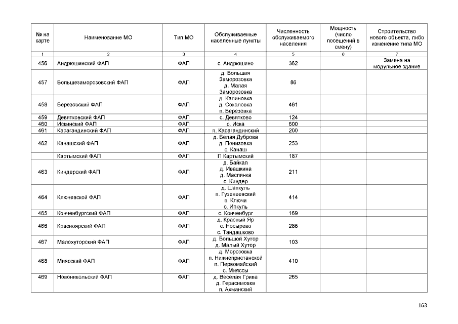
Постановление Правительства Тюменской области от 28.07.2023 № 472-п
"О внесении изменений в постановление от 15.12.2020 № 773-п"
Номер опубликования: 7200202308020002
Дата опубликования: 02.08.2023
Страница №191 из 578:
Увеличить