Официальное опубликование правовых актов
ОФИЦИАЛЬНОЕ ОПУБЛИКОВАНИЕ
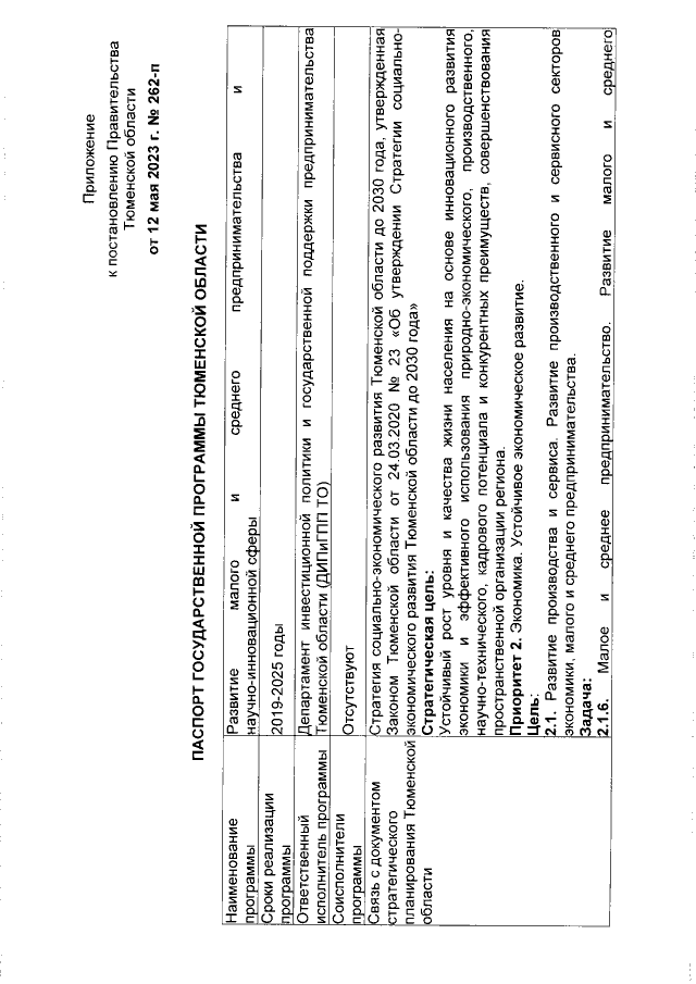
Постановление Правительства Тюменской области от 12.05.2023 № 262-п
"О внесении изменения в постановление от 14.12.2018 № 511-п"
Номер опубликования: 7200202305170004
Дата опубликования: 17.05.2023
Страница №2 из 22:
Увеличить