Официальное опубликование правовых актов
ОФИЦИАЛЬНОЕ ОПУБЛИКОВАНИЕ
Постановление Правительства Тюменской области от 06.07.2022 № 476-п
"О внесении изменений в постановление от 21.12.2018 № 530-п"
Номер опубликования: 7200202207080001
Дата опубликования: 08.07.2022
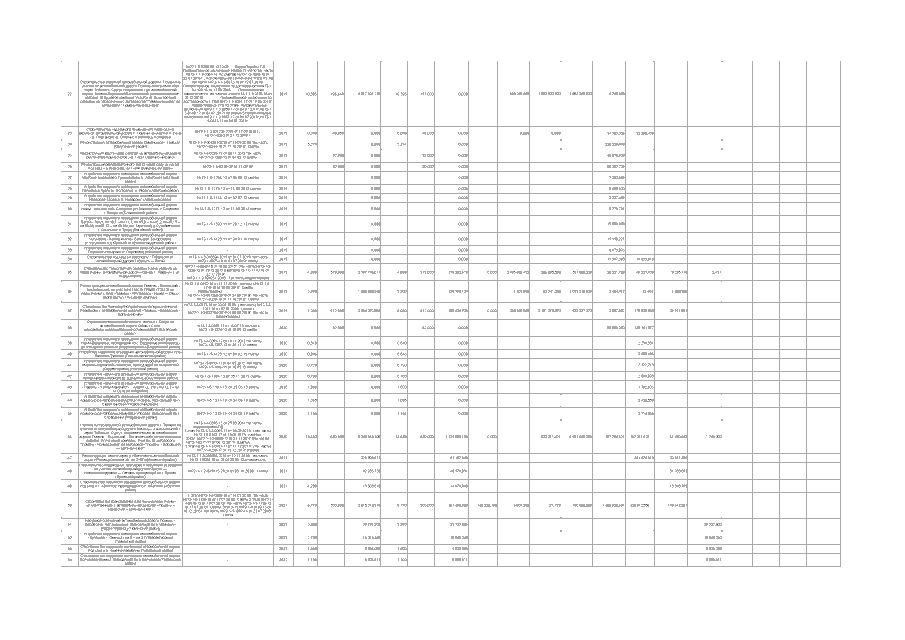
Страница №8 из 12:
Увеличить