Официальное опубликование правовых актов
ОФИЦИАЛЬНОЕ ОПУБЛИКОВАНИЕ
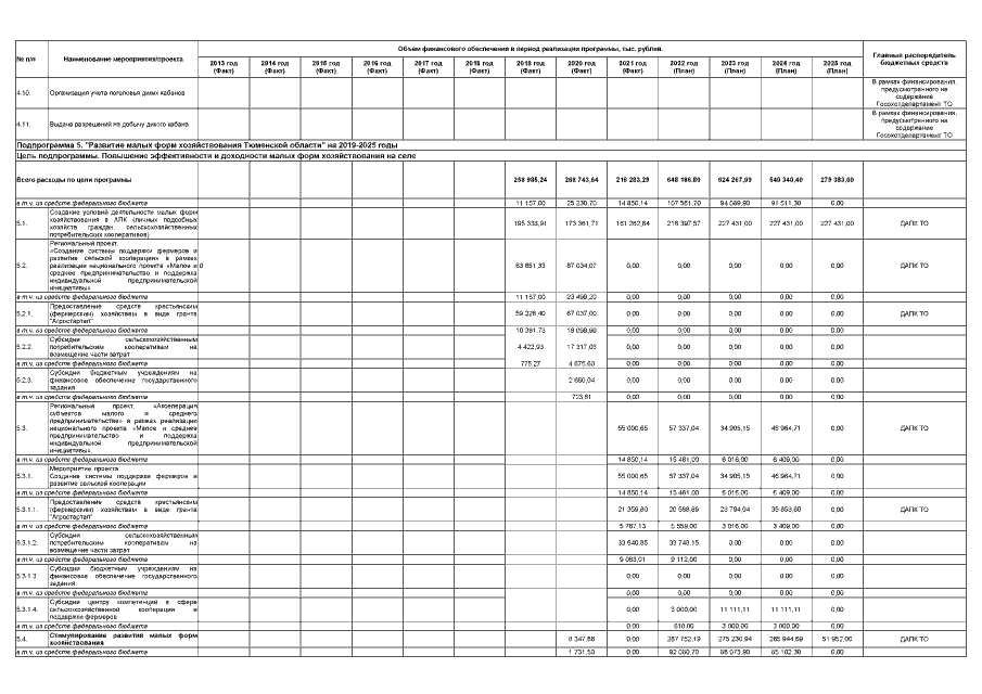
Постановление Правительства Тюменской области от 14.04.2022 № 221-п
"О внесении изменений в постановление от 30.12.2014 № 699-п"
Номер опубликования: 7200202204150001
Дата опубликования: 15.04.2022
Страница №24 из 31: