Официальное опубликование правовых актов
ОФИЦИАЛЬНОЕ ОПУБЛИКОВАНИЕ
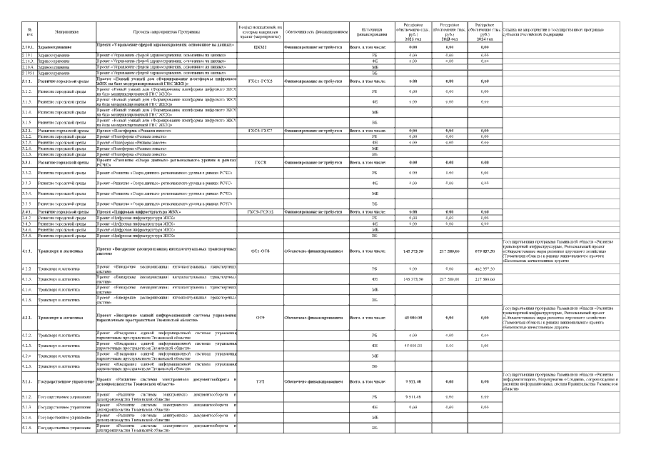
Постановление Правительства Тюменской области от 23.12.2021 № 893-п
"Об утверждении региональной программы цифровой трансформации Тюменской области"
Номер опубликования: 7200202112270008
Дата опубликования: 27.12.2021
Страница №20 из 41:
Увеличить