Официальное опубликование правовых актов
ОФИЦИАЛЬНОЕ ОПУБЛИКОВАНИЕ
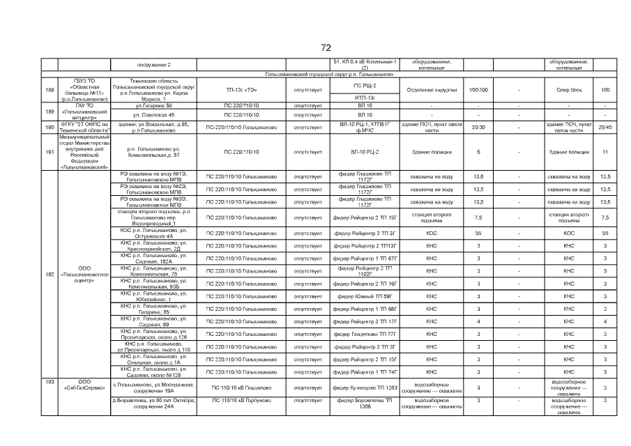
Распоряжение Губернатора Тюменской области от 30.06.2021 № 71-р
"Об утверждении перечня потребителей, которые отнесены к категориям потребителей электрической энергии (мощности), ограничение режима потребления электрической энергии которых может привести к экономическим, экологическим, социальным последствиям"
Номер опубликования: 7200202107020002
Дата опубликования: 02.07.2021
Страница №73 из 234:
Увеличить