Официальное опубликование правовых актов
ОФИЦИАЛЬНОЕ ОПУБЛИКОВАНИЕ
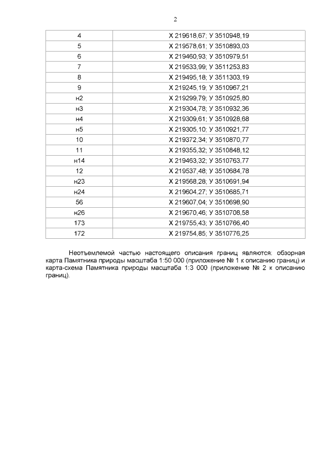
Постановление Правительства Тюменской области от 03.07.2020 № 430-п
"О внесении изменений в постановление от 16.01.2012№ 8-п"
Номер опубликования: 7200202007070009
Дата опубликования: 07.07.2020
Страница №3 из 17:
Увеличить