Официальное опубликование правовых актов
ОФИЦИАЛЬНОЕ ОПУБЛИКОВАНИЕ
Постановление Правительства Тюменской области от 26.06.2020 № 413-п
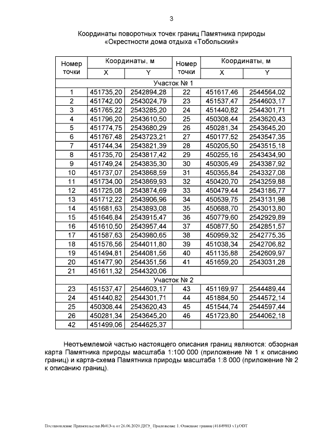
"О памятнике природы регионального значения "Окрестности дома отдыха "Тобольский" в г. Тобольске"
Номер опубликования: 7200202006300007
Дата опубликования: 30.06.2020
Страница №4 из 11:
Увеличить