Официальное опубликование правовых актов
ОФИЦИАЛЬНОЕ ОПУБЛИКОВАНИЕ
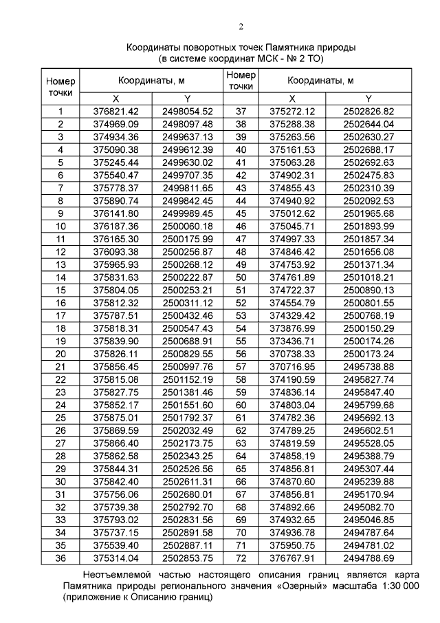
Постановление Правительства Тюменской области от 26.06.2020 № 409-п
"О внесении изменений в постановление от 17.05.2007 № 110-п"
Номер опубликования: 7200202006300005
Дата опубликования: 30.06.2020
Страница №3 из 9:
Увеличить