Официальное опубликование правовых актов
ОФИЦИАЛЬНОЕ ОПУБЛИКОВАНИЕ
Постановление Правительства Тюменской области от 19.06.2020 № 377-п
"О внесении изменений в постановление от 26.06.2006 № 156-п"
Номер опубликования: 7200202006230027
Дата опубликования: 23.06.2020
Страница №4 из 11:
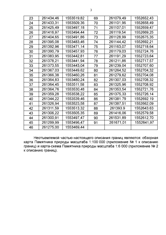
Увеличить