Официальное опубликование правовых актов
ОФИЦИАЛЬНОЕ ОПУБЛИКОВАНИЕ
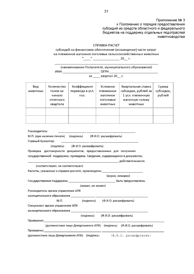
Постановление Правительства Тюменской области от 09.04.2020 № 189-п
"Об утверждении Положений о порядках предоставления средств областного и федерального бюджетов на поддержку отдельных подотраслей растениеводства и животноводства, а также сельскохозяйственного страхования"
Номер опубликования: 7200202004100003
Дата опубликования: 10.04.2020
Страница №117 из 171:
Увеличить