Официальное опубликование правовых актов
ОФИЦИАЛЬНОЕ ОПУБЛИКОВАНИЕ
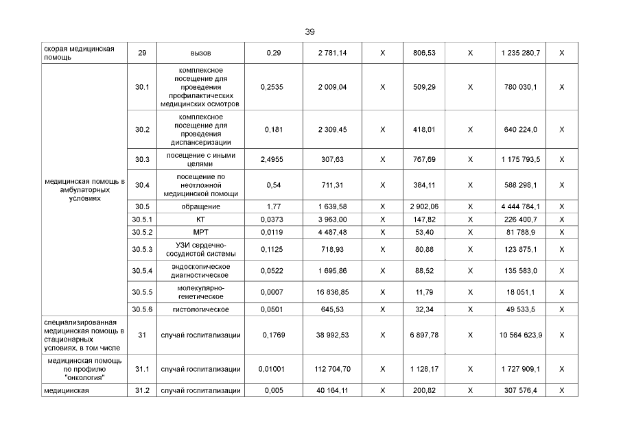
Постановление Правительства Тюменской области от 27.12.2019 № 535-п
"О Территориальной программе государственных гарантий бесплатного оказания гражданам медицинской помощи в Тюменской области на 2020 год и на плановый период 2021 и 2022 годов"
Номер опубликования: 7200201912310038
Дата опубликования: 31.12.2019
Страница №41 из 172:
Увеличить