Официальное опубликование правовых актов
ОФИЦИАЛЬНОЕ ОПУБЛИКОВАНИЕ
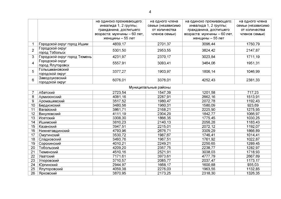
Постановление Правительства Тюменской области от 18.11.2019 № 419-п
"О региональных стандартах оплаты жилого помещения и коммунальных услуг на 2020 год"
Номер опубликования: 7200201911190007
Дата опубликования: 19.11.2019
Страница №5 из 6:
Увеличить