Официальное опубликование правовых актов
ОФИЦИАЛЬНОЕ ОПУБЛИКОВАНИЕ
Постановление Правительства Тюменской области от 04.10.2019 № 348-п
"О внесении изменений в постановление от 18.12.2015 № 584-п"
Номер опубликования: 7200201910070005
Дата опубликования: 07.10.2019
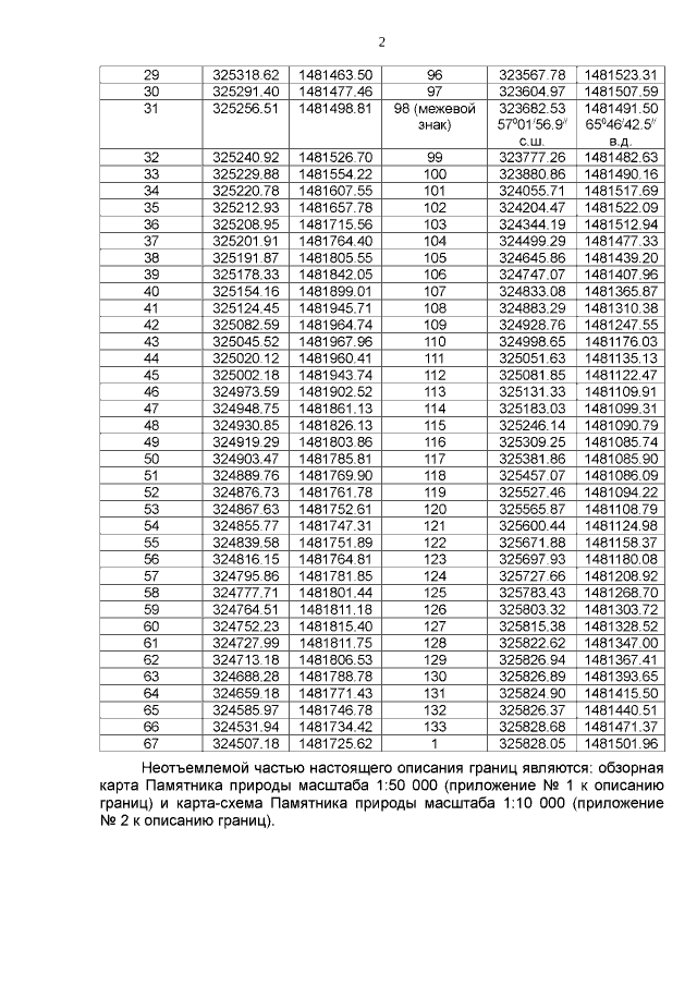
Страница №3 из 9:
Увеличить