Официальное опубликование правовых актов
ОФИЦИАЛЬНОЕ ОПУБЛИКОВАНИЕ
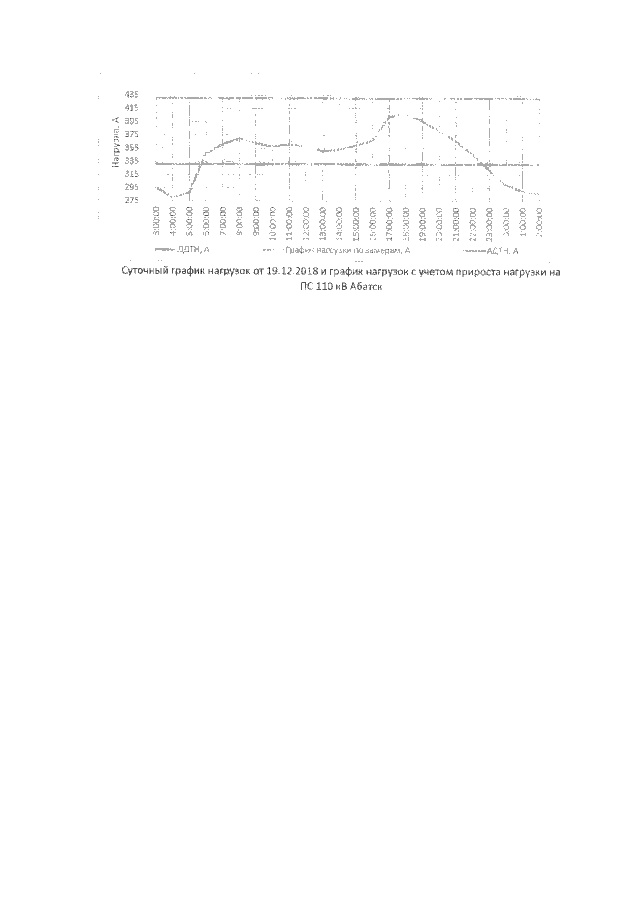
Распоряжение Губернатора Тюменской области от 29.04.2019 № 26-р "Об утверждении схемы и программы развития электроэнергетики Тюменской области на 2020-2024 годы"
Номер опубликования: 7200201904300007
Дата опубликования: 30.04.2019
Страница №89 из 109:
Увеличить