Официальное опубликование правовых актов
ОФИЦИАЛЬНОЕ ОПУБЛИКОВАНИЕ
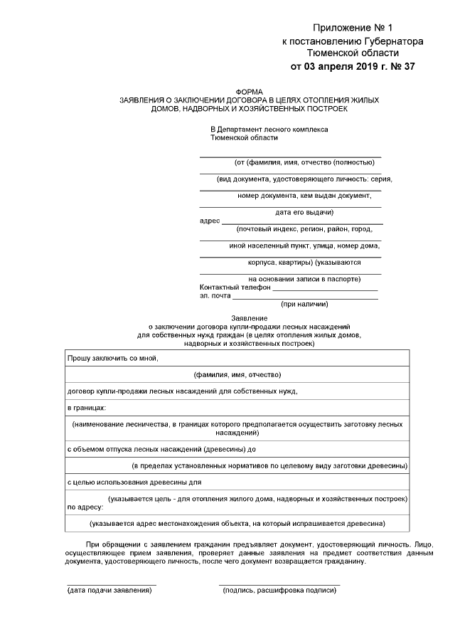
Постановление Губернатора Тюменской области от 03.04.2019 № 37 "О внесении изменений в постановление от 11.01.2019 № 1"
Номер опубликования: 7200201904030001
Дата опубликования: 03.04.2019
Страница №2 из 5:
Увеличить