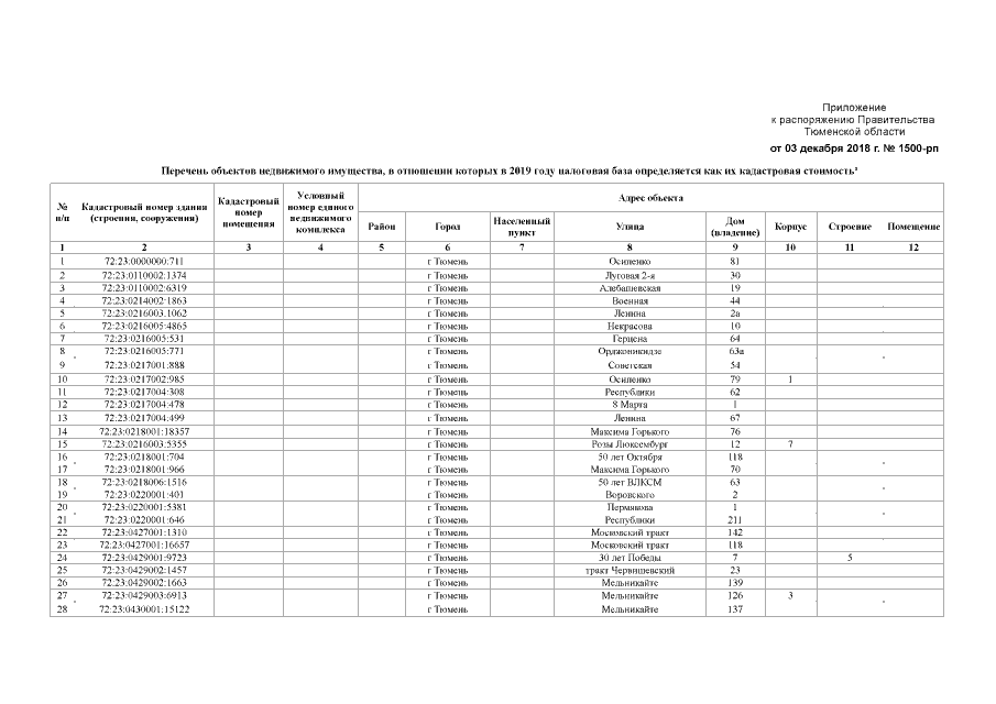
Распоряжение Правительства Тюменской области от 03.12.2018 № 1500-рп "Об утверждении перечня объектов недвижимого имущества, в отношении которых в 2019 году налоговая база определяется как их кадастровая стоимость"
Номер опубликования: 7200201812050002
Дата опубликования:
05.12.2018
