Официальное опубликование правовых актов
ОФИЦИАЛЬНОЕ ОПУБЛИКОВАНИЕ
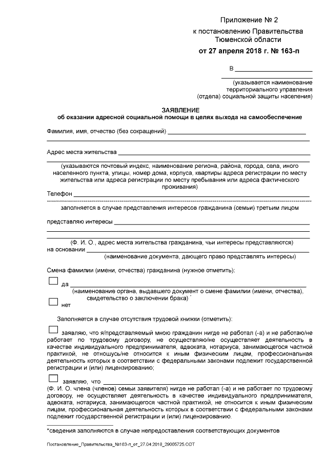
Постановление Правительства Тюменской области от 27.04.2018 № 163-п "О внесении изменений в постановление от 15.12.2004 № 184-пк и признании утратившими силу некоторых нормативных правовых актов"
Номер опубликования: 7200201804280002
Дата опубликования: 28.04.2018
Страница №18 из 42:
Увеличить