Официальное опубликование правовых актов
ОФИЦИАЛЬНОЕ ОПУБЛИКОВАНИЕ
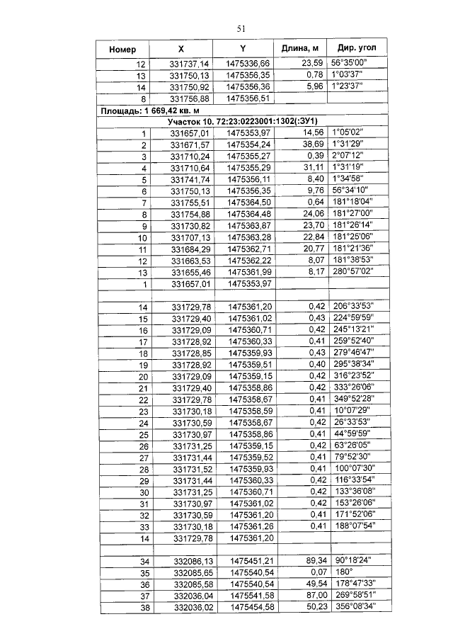
Постановление Правительства Тюменской области от 13.02.2017 № 48-п "Об утверждении документации по планировке территории (проект планировки территории, проект межевания территории), предназначенной для размещения линейного объекта транспортной инфраструктуры регионального значения"
Номер опубликования: 7200201702130001
Дата опубликования: 13.02.2017
Страница №53 из 74:
Увеличить