Официальное опубликование правовых актов
ОФИЦИАЛЬНОЕ ОПУБЛИКОВАНИЕ
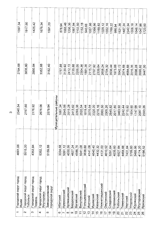
Постановление Правительства Тюменской области от 19.12.2016 № 560-п "О региональных стандартах оплаты жилого помещения и коммунальных услуг на 2017 год"
Номер опубликования: 7200201612200006
Дата опубликования: 20.12.2016
Страница №4 из 6:
Увеличить