Официальное опубликование правовых актов
ОФИЦИАЛЬНОЕ ОПУБЛИКОВАНИЕ
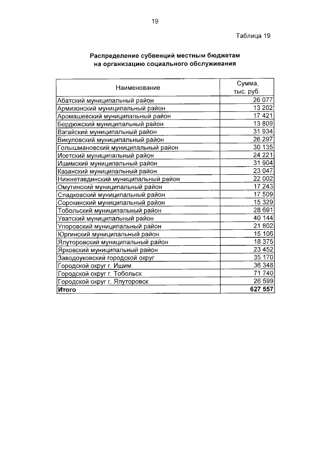
Закон Тюменской области от 09.12.2016 № 104
"Об областном бюджете на 2017 год и на плановый период 2018 и 2019 годов"
Номер опубликования: 7200201612120004
Дата опубликования: 12.12.2016
Страница №1488 из 1499:
Увеличить