Официальное опубликование правовых актов
ОФИЦИАЛЬНОЕ ОПУБЛИКОВАНИЕ
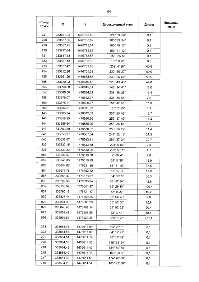
Постановление Правительства Тюменской области от 15.07.2016 № 293-п "Об утверждении документации по планировке территории (проект планировки территории и проект межевания территории), предназначенной для размещения линейного объекта транспортной инфраструктуры регионального значения"
Номер опубликования: 7200201607200018
Дата опубликования: 20.07.2016
Страница №66 из 91:
Увеличить