Официальное опубликование правовых актов
ОФИЦИАЛЬНОЕ ОПУБЛИКОВАНИЕ
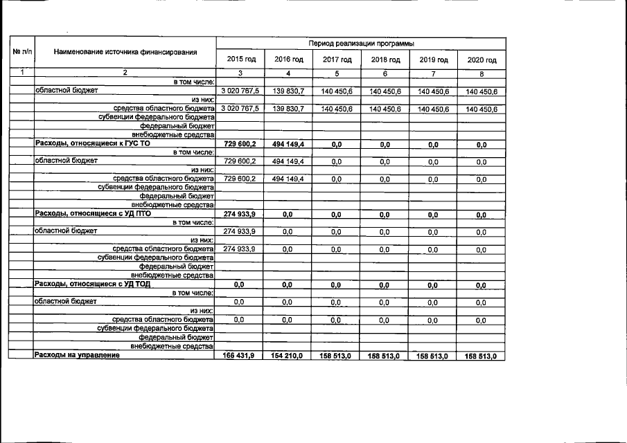
Постановление Правительства Тюменской области от 18.12.2015 № 593-п
"О внесении изменений в постановление от 22.12.2014 № 691-п"
Номер опубликования: 7200201512230008
Дата опубликования: 23.12.2015
Страница №27 из 34:
Увеличить