Официальное опубликование правовых актов
ОФИЦИАЛЬНОЕ ОПУБЛИКОВАНИЕ
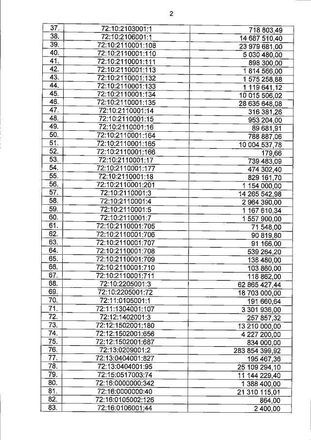
Постановление Правительства Тюменской области от 05.11.2014 № 562-п
"Об утверждении результатов определения кадастровой стоимости земельных участков в составе земель особо охраняемых территорий и объектов Тюменской области"
Номер опубликования: 7200201411100004
Дата опубликования: 10.11.2014
Страница №4 из 9:
Увеличить