Официальное опубликование правовых актов
ОФИЦИАЛЬНОЕ ОПУБЛИКОВАНИЕ
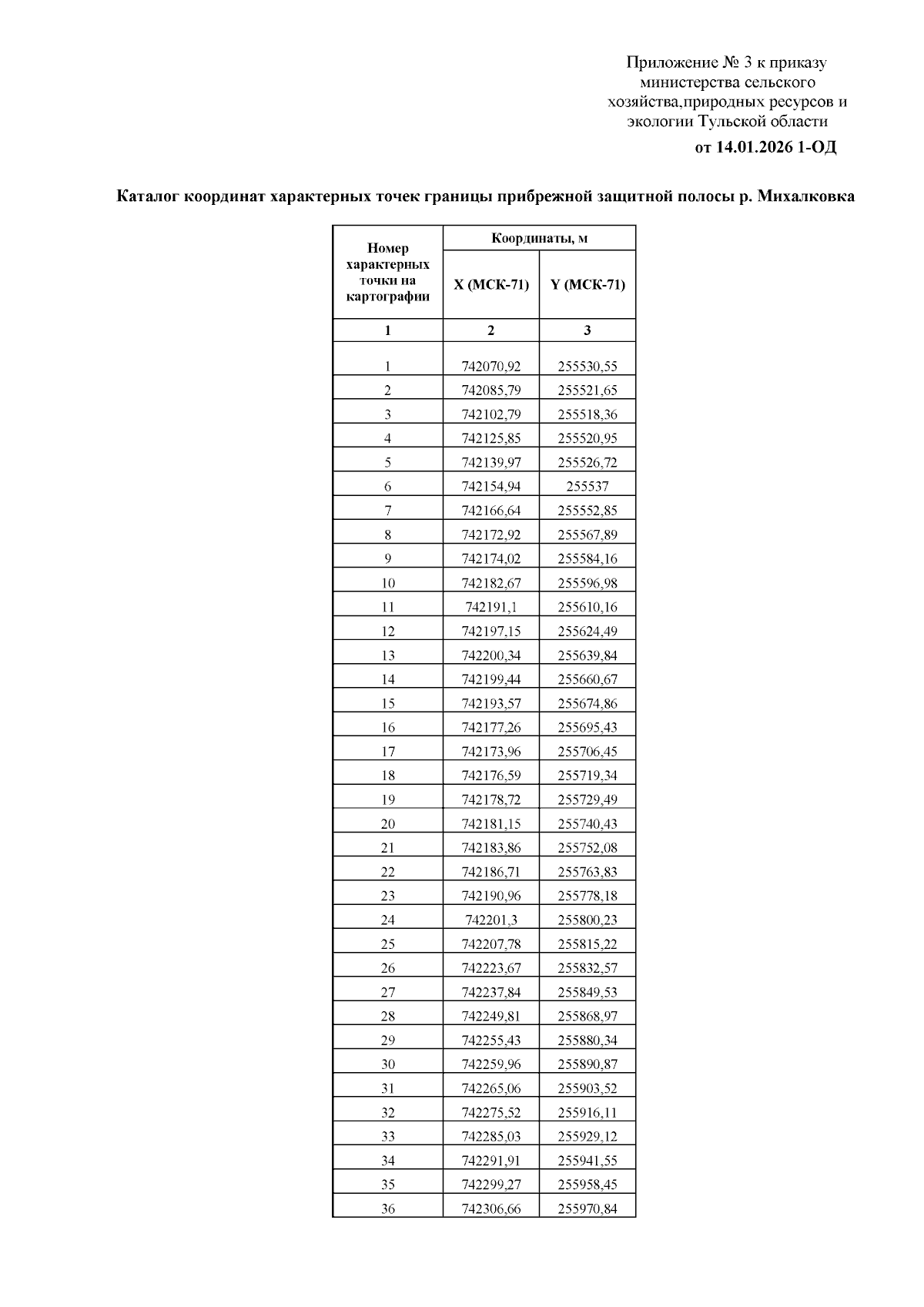
Приказ Министерства сельского хозяйства, природных ресурсов и экологии Тульской области от 14.01.2026 № 1-ОД
"Об утверждении каталогов координат береговых линий (границ водных объектов), границ водоохранных зон и границ прибрежных защитных полос р. Михалковка на территории Тульской области"
(Зарегистрирован 14.01.2026 № 1-ОД)
Номер опубликования: 7101202601150007
Дата опубликования: 15.01.2026
Страница №49 из 77:
Увеличить