Официальное опубликование правовых актов
ОФИЦИАЛЬНОЕ ОПУБЛИКОВАНИЕ
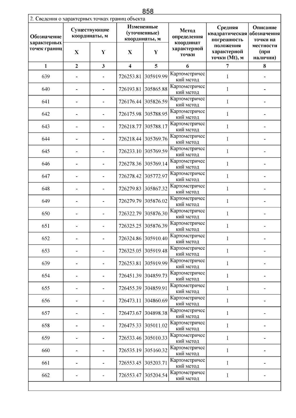
Приказ Комитета Тульской области по архитектуре и градостроительству от 29.12.2025 № 171
"О внесении изменений и дополнения в правила землепользования и застройки муниципального образования город Новомосковск, утверждённые постановлением администрации муниципального образования города Новомосковск от 28.06.2021 № 1611"
(Зарегистрирован 29.12.2025 № 171)
Номер опубликования: 7101202512300032
Дата опубликования: 30.12.2025
Страница №913 из 2636:
Увеличить