Официальное опубликование правовых актов
ОФИЦИАЛЬНОЕ ОПУБЛИКОВАНИЕ
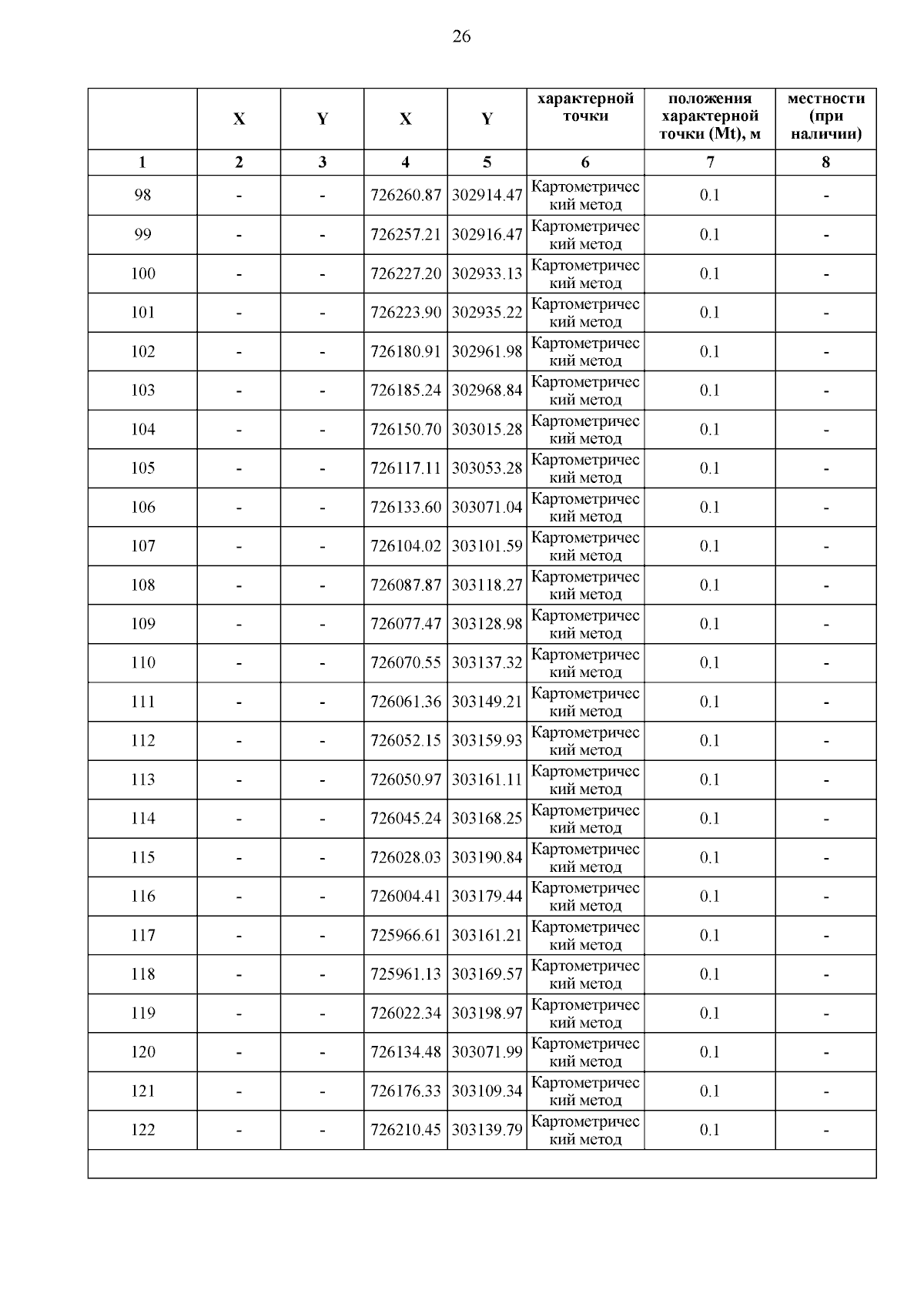
Приказ Комитета Тульской области по архитектуре и градостроительству от 29.12.2025 № 170
"О внесении изменений в генеральный план муниципального образования город Новомосковск, утверждённый решением Собрания депутатов муниципального образования город Новомосковск от 26.07.2012 № 73-1"
(Зарегистрирован 29.12.2025 № 170)
Номер опубликования: 7101202512300031
Дата опубликования: 30.12.2025
Страница №58 из 123:
Увеличить