Официальное опубликование правовых актов
ОФИЦИАЛЬНОЕ ОПУБЛИКОВАНИЕ
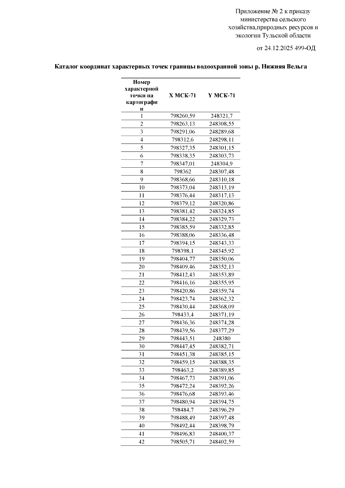
Приказ Министерства сельского хозяйства, природных ресурсов и экологии Тульской области от 24.12.2025 № 499-ОД
"Об утверждении каталогов координат береговых линий (границ водных объектов), границ водоохранных зон и границ прибрежных защитных полос р.Нижняя Вельга на территории Тульской области"
(Зарегистрирован 24.12.2025 № 499-ОД)
Номер опубликования: 7101202512300002
Дата опубликования: 30.12.2025
Страница №30 из 123:
Увеличить