Официальное опубликование правовых актов
ОФИЦИАЛЬНОЕ ОПУБЛИКОВАНИЕ
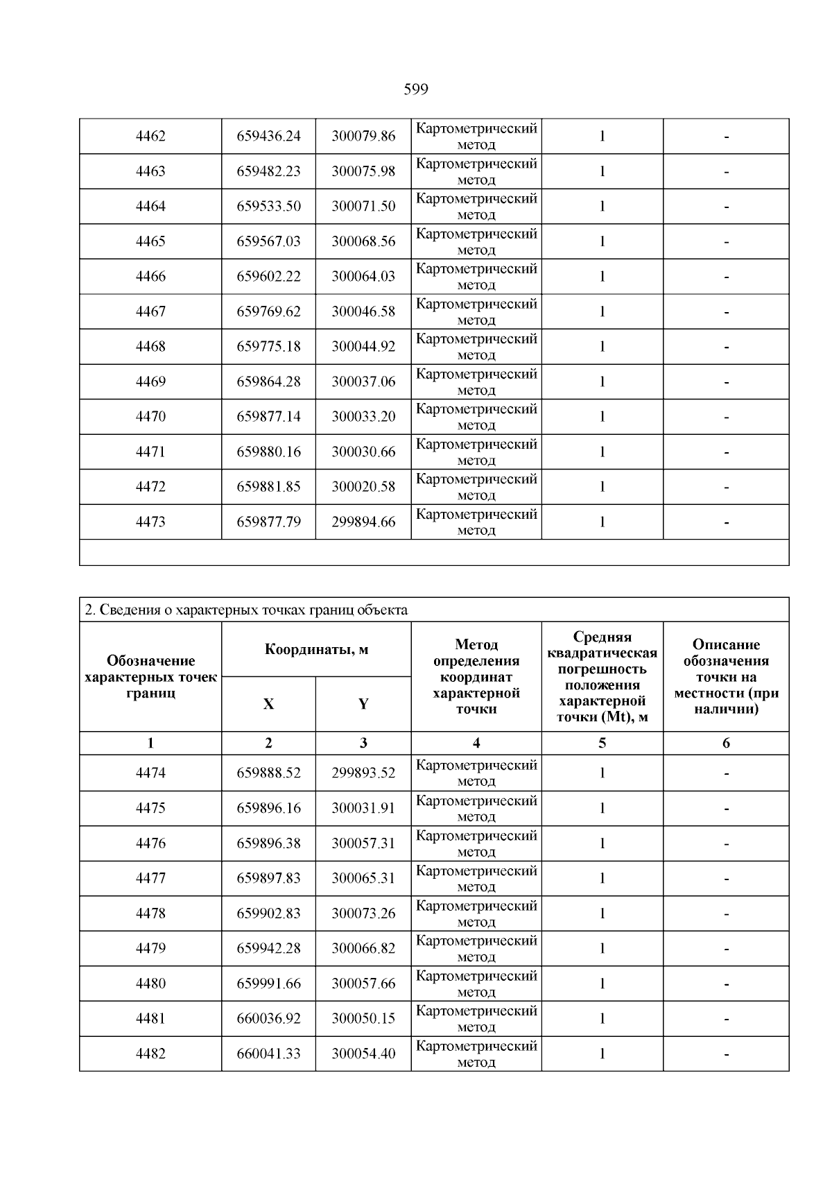
Приказ Комитета Тульской области по архитектуре и градостроительству от 24.12.2025 № 166
"О внесении изменений и дополнений в правила землепользования и застройки муниципального образования Турдейское Воловского района Тульской области, утверждённые постановлением администрации муниципального образования Воловский район от 22.07.2022 № 652"
(Зарегистрирован 24.12.2025 № 166)
Номер опубликования: 7101202512250007
Дата опубликования: 25.12.2025
Страница №642 из 659:
Увеличить