Официальное опубликование правовых актов
ОФИЦИАЛЬНОЕ ОПУБЛИКОВАНИЕ
Приказ Комитета Тульской области по архитектуре и градостроительству от 24.12.2025 № 165
"О внесении изменений и дополнений в генеральный план муниципального образования Турдейское Воловского района, утверждённый решением Собрания представителей муниципального образования Воловский район от 17.12.2015 № 36-2"
(Зарегистрирован 24.12.2025 № 165)
Номер опубликования: 7101202512250003
Дата опубликования: 25.12.2025
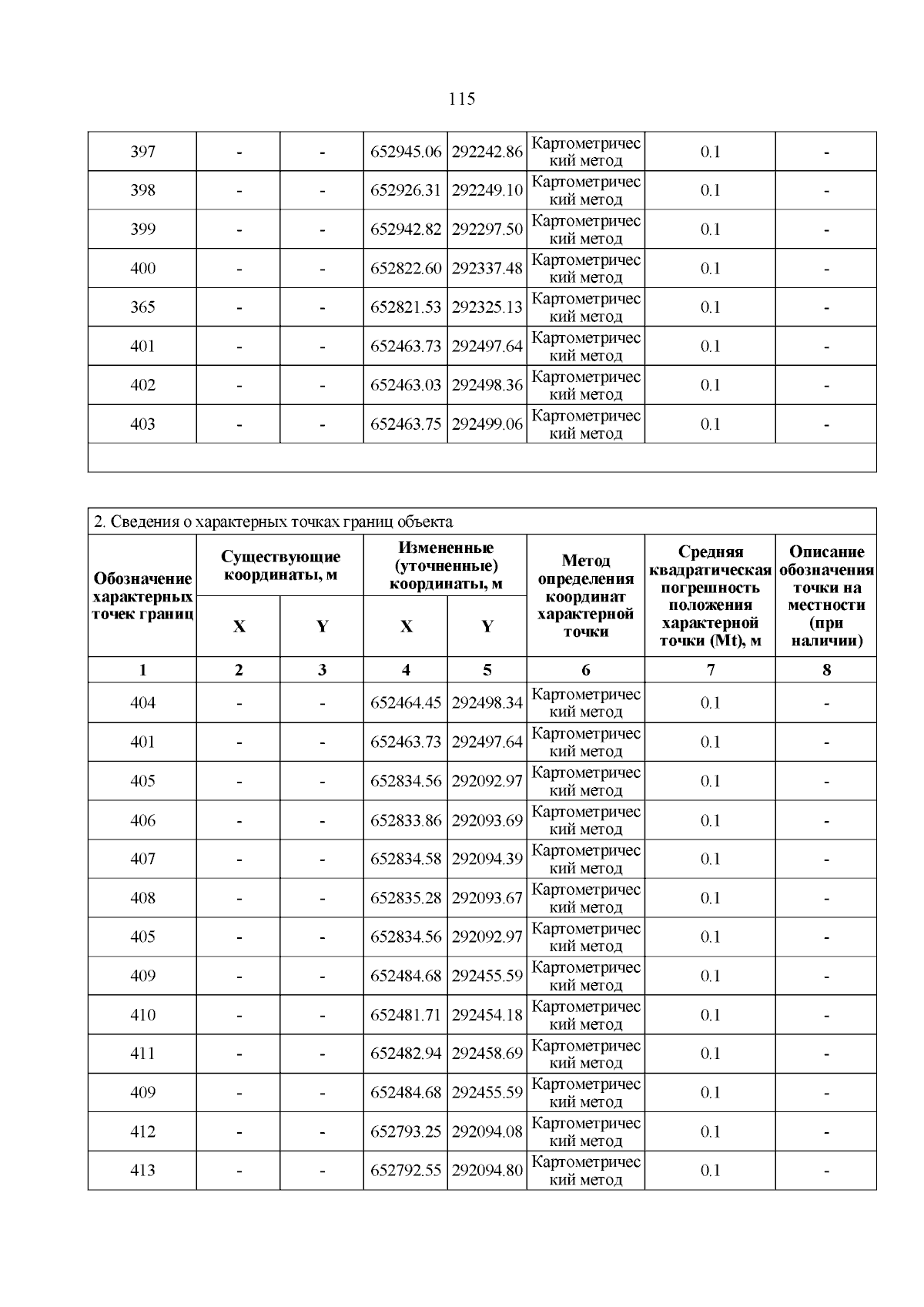
Страница №145 из 150:
Увеличить