Официальное опубликование правовых актов
ОФИЦИАЛЬНОЕ ОПУБЛИКОВАНИЕ
Постановление Комитета Тульской области по тарифам от 17.12.2025 № 47/3
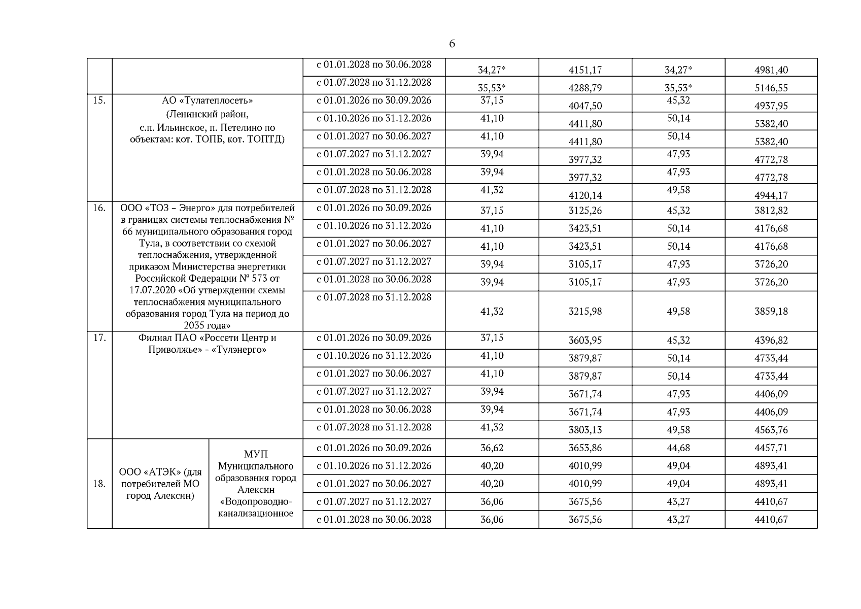
"Об установлении долгосрочных параметров регулирования, производственных программ и тарифов на тепловую энергию и услугу по передаче тепловой энергии, на теплоноситель, на горячую воду в открытых системах теплоснабжения (горячее водоснабжение), на горячую воду (горячее водоснабжение) в закрытых системах горячего водоснабжения, отпускаемую организациями потребителям Тульской области на долгосрочные периоды регулирования 2026 - 2028 гг., 2026 - 2030 гг., на 2026 год долгосрочных периодов регулирования 2022 - 2026 гг., 2022 - 2027 гг., 2023 - 2026 гг., 2023 - 2027 гг., 2023 - 2028 гг., 2024 - 2027 гг., 2024 - 2028 гг., 2025 - 2028 гг., 2025 - 2029 гг., 2025 - 2030 гг."
(Зарегистрирован 17.12.2025 № 47/3)
Номер опубликования: 7101202512230009
Дата опубликования: 23.12.2025
Страница №162 из 215:
Увеличить