Официальное опубликование правовых актов
ОФИЦИАЛЬНОЕ ОПУБЛИКОВАНИЕ
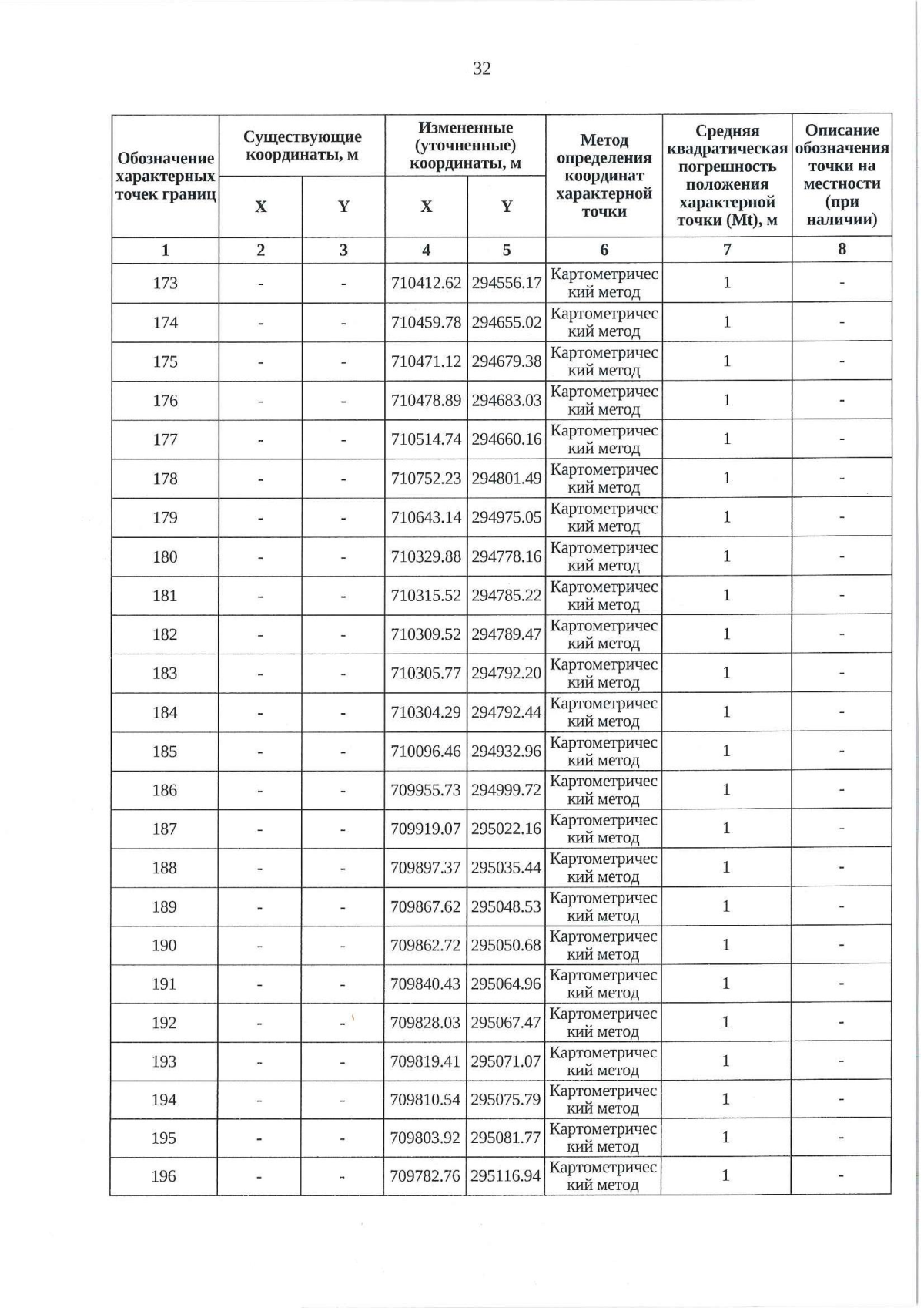
Приказ Комитета Тульской области по архитектуре и градостроительству от 26.11.2025 № 148
"О внесении изменений в генеральный план муниципального образования Шахтерское Узловского района Тульской области, утвержденный решением Собрания представителей муниципального образования Узловский район от 27.06.2017 №73-510"
(Зарегистрирован 26.11.2025 № 148)
Номер опубликования: 7101202511280005
Дата опубликования: 28.11.2025
Страница №65 из 74:
Увеличить