Официальное опубликование правовых актов
ОФИЦИАЛЬНОЕ ОПУБЛИКОВАНИЕ
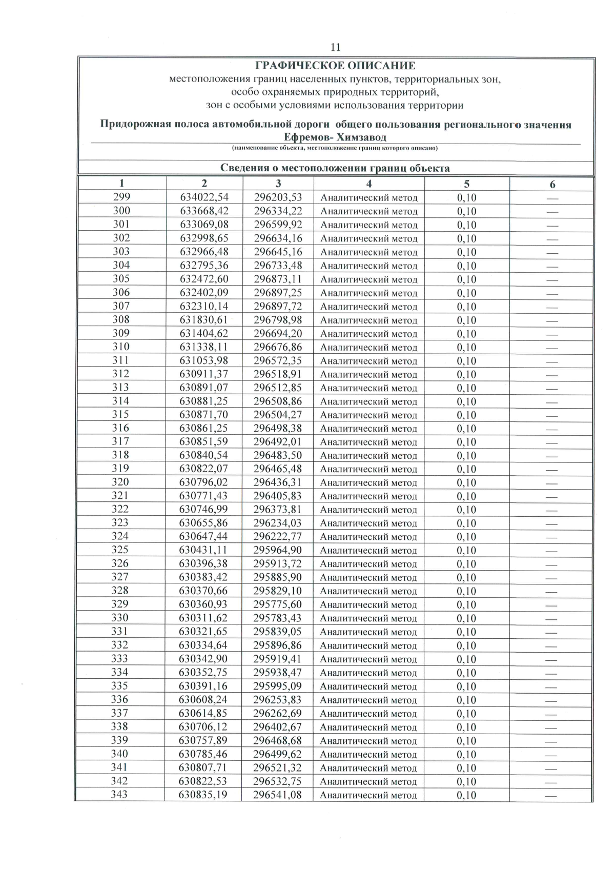
Приказ Министерства транспорта и дорожного хозяйства Тульской области от 31.10.2025 № 270
"Об установлении придорожных полос автомобильной дороги общего пользования регионального значения Ефремов - Химзавод"
(Зарегистрирован 31.10.2025 № 270)
Номер опубликования: 7101202511050002
Дата опубликования: 05.11.2025
Страница №13 из 45:
Увеличить