Официальное опубликование правовых актов
ОФИЦИАЛЬНОЕ ОПУБЛИКОВАНИЕ
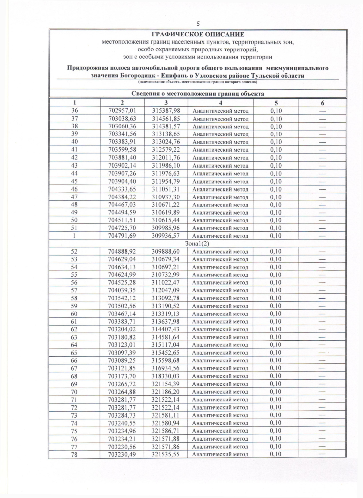
Приказ Министерства транспорта и дорожного хозяйства Тульской области от 17.10.2025 № 255
"Об установлении придорожных полос автомобильной дороги общего пользования межмуниципального значения Богородицк – Епифань, расположенной в границах Узловского района Тульской области"
(Зарегистрирован 17.10.2025 № 255)
Номер опубликования: 7101202510240005
Дата опубликования: 24.10.2025
Страница №7 из 24:
Увеличить